“Ways to Multiply and Divide” is Chapter 13 from Merry Math V for students of Class 5th of JKBOSE. This post is about Ways to Multiply and Divide Class 5 JKBOSE Solutions. In a previous post, you read about Smart Charts Class 5 JKBOSE Solutions. Let’s get started:

Ways to Multiply and Divide Class 5 JKBOSE Solutions
Page 189 Solutions
Jibran – The Cashier
Jibran is the cahier of King Ahsan. His job is to find out the salary of all the people who work for the king. This chart shows how much salary each person gets in a day.

Jibran wanted to calculate the salary of the cook for the month of January. He wrote-

Rupees 1800 + 150+60 + 5 = Rs _________
Ans. Rupees 1800 + 150 + 60 + 5 = Rs (1950 + 65) = Rs 2015.
Jibran’s daughter Iram has learnt the method to multiply. She wrote this and showed it to Basit, her brother.

Ans.

Page 190 Solutions
Now Basit tried to find the salary of a minister from the month of January. He wanted to multiply 195 ×31.

Ans.

Practice Time
- Use Iram’s method to multiply these numbers.
a. 32 × 46
b. 67 × 46

- Do these in your notebook using Iram’s method.
(a) 47 × 19 (b) 188 × 91
(c) 63 × 57 (d) 225 × 22
(e) 360 × 12 (f) 163 × 42
Ans.

Page 191-192 Solutions
Jagdeep a Special Cook
Jagdeep is a special cook who comes only on party days. Last year he was called for only 28 days. For, each day he has to be paid Rs 165. Find out how much money he will get in all.
Ans. Salay paid to Jagdeep for 1 day = Rs. 165.
So, the salary paid to Jagdeep for 28 days = Rs 165 × 28

Hence, the money Jagdeep gets in all is Rs 4620.
If he is called for all days of the year, how much salary will he get?

Ans.

Thus, the cook will get a salary of Rs 60,225.
Now find the salaries of the minister and horse rider for 1 year.
The salary paid to the minister for 1 day = Rs 195
So, the salary paid to the minister for 365 days = Rs 195 × 365

Hence, the salary of the minister for 1 year is Rs 71,175
And,
The salary paid to the horse rider for 1 day = Rs 95
So, the salary paid to the horse rider for 365 days = 365 × Rs 95

Hence, the salary of the horse rider for 1 year is Rs 27,720.
Years and Years
(a) Zubair drinks 8 glasses of water every day.
- How many glasses will he drink in one month? __________
- How many glasses will he drink in one year?
- If 125 people living in a colony drink 8 glasses of water in a day, how much water will they drink in a year?
Ans. The number of glasses of water Zubair drinks everyday = 8
We know that, 1 month = 30 days
So, the number of glasses of water consumed by Zubair = 8 x 30 = 240 glasses.
Hence, Zubair will drink 240 glasses of water in one month.
Now, we know 1 year = 365 days
So, the number of glasses of water consumed by Zubair in 365 days = 365 x 8 = 2920 glasses.
Hence, Zubair will drink 2,920 glasses of water in one year.
We have, the number of glasses of water consumed by 1 person for a year = 2,920
So, the number of glasses of water consumed by 125 people of the colony for one year = 2920 × 125 = 365000
Therefore, 125 people of the colony will drink 3, 65,000 glasses of water in one year.
(b) If Iqra’s heart beats 72 times in one minute, how many times does it beat in one hour?
Ans. The number of times Iqra’s heart beats in one minute = 72
We know, 1 hour = 60 minutes
So, the number of times Iqra’s heart beats in one hour = 72 × 60 = 4320
Hence, Soha’s heart beats 4,320 times in one hour.
Now, we know one day has 24 hours.
So, the number of times Soha’s heart beats in a day = 4320 x 24 = 103680

(c) A baby elephant drinks around 12 L of milk every day. How much milk will it drink in two years?
Ans. The number of litres of milk the baby elephant drinks in a day = 12 L
We know, the number of days in a year = is 365
And the number of days in two years = 365 x 2 = 730
So, the number of litres of milk the baby elephant drinks in two years = 12 x 730 = 8760 litres.

(d) A baby blue whale drinks around 200 L of milk in one day. Just imagine how much milk that is! Find out how many days your family would use 22 L milk. How much milk would the baby blue whale drink in eight months?
Ans. Number of litres of milk a baby blue whale drinks in one day = 200
Number of litres of milk used in my family in one day = 2
So, the number of days for consuming 200 L of milk in my family = 200/2 = 100 days
Now,
We know 1 month = 30 days then, 8 months = 30 x 8 = 240 days
So, the number of litres of milk the baby blue whale will drink in eight months = 200 x 240 = 48000.
Hence, the baby blue whale will consume 48,000 L of milk in eight months.
Page 192-193 Solutions
Deep – The Landlord
Muzamil bought three fields.

- Find the area of all the three
Field (A) ____________ square metre.
Field (B) ____________ square metre.
Field (C) ____________ square metre.
Area of field A = Length × Breadth
= 27 × 28 = 756 square m.

Area of field B = Length × Breadth
= 36 × 12 = 432 square m.

Area of field C = Length × Breadth
= 27 × 19 = 513 square m.

He bought field (A) at the rate of ₹ 95 for a square, field (B) at Rs 110 for a square metre and field (C) at Rs 120 for a square metre. Find the cost of all three fields.
Ans. Cost of field A at the rate of ₹ 95 per square metre = ₹ 95 × 756 = ₹ 71820.

Cost of field B at the rate of ₹ 110 per square metre = ₹ 110 × 432 = ₹ 47520.

Cost of field C at the rate of ₹ 120 per square metre = ₹ 120 × 513 = ₹ 61560.

Total cost of all three fields = ₹ 71820 + ₹ 47520 + ₹ 61560 = ₹ 1,80,900.
Nusrat and her husband work on Muzamil’s farm. The government has said that farm workers should be paid at least Rs 71 for one day’s work. But he pays Rs 55 to Nusrat and Rs 58 to her husband.
If Nusrat works for Rs 49 days, how much money does she get? ____________
If her husband works for 42 days, how much money does she get? ____________
Find the money they earn together. ____________
Ans. One day wage of Nusrat = ₹ 55.
49 days wages of Nusrat = ₹ 55 × 49 = ₹ 2695.

Nusrat will get ₹ 2695 for 49 days work.
One day wage of Nusrat’s husband = ₹ 58
42 days wages of Nusrat’s husband = ₹ 58 × 42 = ₹ 2436

Nusrat’s husband will get ₹ 2436 for 42 days work.
Total money they earned together = ₹ 2695 + ₹ 2436 = ₹ 5131
Page 194 Solutions

The table shows the amounts fixed by four states.
a. For farm work which state has fixed the highest amount? Which state has fixed the lowest?
Ans. Haryana has fixed the highest amount for one day’s farm work while Rajasthan has fixed the lowest amount for one day’s farm work.
b. Farooq is a worker in Rajasthan. If he works for 8 weeks on the farm, how much will he earn?
Ans. Farooq’s 1 day earning in Rajasthan = ₹ 73.
Farooq’s 1 week earning = ₹ 73 × 7 = ₹ 511,
Farooq’s 8 weeks earning = ₹ 511 × 8 = ₹ 4088.
c. Nayeema is a worker in Haryana. If she works for 2½ months on the farm, how much will she earn?
Ans. Number of days in 1 month = 30 days.
Number of days in ½ month = 30/2 = 15 days.
Number of days in 2½ months = (30 × 2 + 15) = 75 days.
Nayeema’s 1 day earning = ₹ 135.
Nayeema’s 75 days earning = ₹ 135 × 70 = ₹ 10125

Hence, Nayeema’s will earn ₹ 10125 in 2 ½ months.
d. How much more will a farm worker in Madhya Pradesh get than a worker in Orissa after working for 9 weeks?
Ans. Difference between the salary of workers of Madhya Pradesh and Orrisa.
₹ 97 – ₹ 75 = ₹ 22.
Difference in their salary in 1 week = ₹ 22 × 7 = ₹ 154.
Difference in their salary in 9 weeks = ₹ 154 × 7 = ₹ 1386.
Hence, a farm worker in Madhya Pradesh will get ₹ 1386 more than a farm worker in Orrisa.
Page 195 Solutions
Ahmad’s Story
Ahmad is a 13-year-old boy. His father had taken a loan for farming. But the crops failed. Ahmad’s mother has to pay Rs 5000 every month for the loan.
Ahmad started working __ he worked after 17 goats of the village.
He earns Rupee 1 every day for one goat.
How much will he earn in one month?
Ans. Ahmad’s earnings on 1 goat per day = ₹ 1
Ahmad’s earning on 17 goats per day = ₹ 17.
So, Ahmad’s earning on 17 goats in one month = ₹ 17 × 30 = ₹ 510.
Ahmad’s mother has to pay Rs 5,000 every month for the loan.
Does he earn enough to help pay the loan every month?
The earnings of Ahmad will not help pay the loan every month.
How much will he earn in one year?
Ahmad’s earnings in one month = ₹ 510.
We know 1 year = 12 months
Now, Ahmad’s earnings in one year = ₹ 510 × 12 = ₹ 6120.
Gugi’s story
To help farmers the state Government gave cows. Gugi also got a cow. The cost of the cow was Rs 52,500. She had to pay Rs 16,500 and the government spent the rest of the money.
How much did the government spend on the cow?
Ans. Cost of the cow = ₹ 52500.
Amount from the cost of the cow Gugi had to pay = ₹ 16,500.
Money spent by the government on the cost of cow = ₹ 52500 – ₹ 16500 = ₹36000.
If 9 people from her village got cows, how much did the government spend in all?
Ans. Money spent by the government on 1 cow = ₹ 36000.
Money spent by the government on 9 cows = ₹ 36000 × 9 = ₹ 3,24000
But Gugi was not happy. She had to spend Rs 255 every day on the cow. She made some money by selling the milk. But still, she wanted to sell the cow.
If Gugi spends Rs 255 a day. Find out how much she will spend in one month.
Ans. Money Gugi had to spend on the cow in 1 day = ₹ 255.
The amount of money she had to spend on the cow in one month = ₹ 255 × 30 = ₹ 7650.
So, Gugi spent ₹ 7650 every month on the cow.
The cow gives 8 litres of milk every day. How much will it give in one month?
Ans. The quantity of milk given by a cow every day = 8 litres.
The quantity of milk given by a cow in one month = 8 × 30 = 240 litres.
Page 196 Solutions
If the milk is sold at Rs 30 per litre, how much money will Gugi make in one month? ____________
Ans. Cost of 1 litre of milk = ₹ 30.
Cost of 240 litres milk = ₹ 30 × 240 = ₹ 7200.
So, the money spent on keeping the cow was Rs _________
Ans. So, the money spent on keeping the cow was Rs 7650
Money earned by selling the milk Rs __________
Ans. Money earned by selling the milk Rs 7200
Which is more ___ spent on the cow or money earned from it? How much?
Ans. The money spent on the cow is more than the money earned from it. It is ₹ 450 more than the money earned.
Explain why she wanted to sell the cow.
Ans. She wanted to sell the cow because she had to spend more money on the cow compared to her earnings by selling the milk of the cow.
Practice time
a. Farooq works on a farm. He is paid Rs 290 for one day. If he works for 52 days, how much will he earn?
Ans. Farooq’s one day’s earning = ₹ 290.
Farooq’s 52 days earnings = ₹ 290 × 52 = ₹ 15080.

Hence, Farooq earns ₹ 15080 in 52 days.
b. Monu took a loan to build his house. He has to pay back Rs 8,250 every month for two years. How much will he pay back in 2 years?
Ans. Monu took a loan for two years.
The amount of loan Monu had to pay back monthly = ₹ 8250.

The amount of the loan he paid back in 2 years i.e. 24 months = ₹ 8250 × 24 = ₹ 1,98,000.
c. Badal is a milk seller in the city. He sells 13 litres of milk every day at Rs 27 per litre. How much does he earn?
Ans. The selling price of 1 litre of milk = ₹ 27.
The selling price of 13 litres of milk = ₹ 27 × 13 = ₹ 351

d. A farmer sells 1 litre of milk for Rs 25. In one month, he sells 210 litres of milk. How much does he earn in a month?
Ans. Selling price of 1 litre of milk = ₹ 25.
The selling price of 210 litres of milk = ₹ 210 × 25 = ₹5250.

e. A company sells 1 litre of packed water for Rs 27. A shopkeeper buys 240 litres of packed water. How much does he pay?
Ans. Amount paid for 1 litre of packed water = ₹ 27.
Amount paid for 240 litres of packed water = ₹ 27 × 240 = ₹ 6480.

Page 197 Solutions
Fun with multiplication
A) Look for the pattern and take this forward.

Ans.

B) Each letter a, b, and c stands for a number.

Take a = 1, then find what the numbers b and c will be.
Ans. Put the value of a = 1

C) Tricks with your age.
Write your age __________
Multiply it by 7 __________
Again, multiply the answer by 13 _________
Multiply again that answer by 11 _________
Now look at your last answer. Can you find your age in that answer? How many times does your age show in the answer?
Now try this trick with other people.
Ans. Write your age: 10
Multiply it by 7: 10 x 7 = 70
Again, multiply the answer by 13: 70 x 13 = 910

Multiply again that answer by 11: 910 x 11 = 10010

Yes, I can find my age in the final answer. My age appears two times in the answer.
Page 198 Solutions
Division
Sheemu took a loan from a friend to buy a moped for Rs 9,588. She has to pay it back in equal amounts every month for six months.
How much will she have to pay every month? She asked her children to calculate.

Ans.

Will both of them get the same answer? Discuss.
Ans. Yes, both of them will get the same answer.
Therefore, Sheemu has to pay a sum of Rs 1,598 every month for 6 months to her friend.
Practice time
Try to solve these using as few steps as you can.
a) 4228 ÷ 4

b) 770 ÷ 22

c) 9872 ÷ 8

d) 672 ÷ 21

e) 772 ÷ 7

f) 639 ÷ 13

Page 199 Solutions
How Many Times?
976 children are going on a picnic. They will be taken in minibuses. If 25 children can go in one bus, how many buses do they need?
Two children have solved it. Check if they have made a mistake- correct it. Discuss.

How much petrol?
Afroza has Rs 1000 with her. She wants to buy petrol. One litre of petrol costs Rs 47. How many litres can she buy?
Money with Afroza = Rs 1000
Cost of 1 litre = Rs 47
Litres of petrol she can buy = Rs 1000 ÷ Rs 47 =?
Ans.

Afroza can buy________ litres of petrol.
Ans. Afroza can buy 21 litres of petrol.
Page 200 Solutions
Find out
If Afroza comes to your city, how much petrol can she buy with the same money?
Ans. Money with Afrooza = ₹ 1000.
The cost of 1 litre of petrol in our city = ₹ 100
Therefore, the amount of petrol she can buy = ₹ 1000 ÷ ₹ 100 = 10 litres.
Children’s Day
The children are happy today. They are celebrating Children’s Day. Each child will be given 4 coloured pencils from school. The school has got 969 pencils. To find out how many children can get the teacher asks them to divide.

Complete Maria’s and Rukhsana’s way of division. What is the answer you get?
Ans.
Maria’s way of division.

Rukhsana’s way of division.

Page 202 Solutions
Practice Time
576 books are to be packed in boxes. If one box has 24 books, how many boxes
are needed?
Ans. Total number of books to be packed in boxes = 576
Number of books in one box = 24
Then 576 books can be kept in = 576 ÷ 24 = 22 boxes.

Hence, 24 boxes are required to pack 576 books.
836 people are watching a movie in a hall. If the hall has 44 rows, how many people can sit in 1 row?
Ans. The total number of people watching the movie in the hall = 836
Number of rows in the hall = 44
The total number of people sitting in 1 row = 836 ÷ 44 = 19.

Hence, 19 people are sitting in 1 row of the hall.
A gardener bought 458 apple trees. He wants to plant 15 trees in each row. How many rows can he plant?
How many trees would be left over?
Ans. Total number of trees bought by gardener = 458
Number of trees planted in one row = 15
So, the number of rows he can plant = 458 ÷ 15

Thus, the gardener can plant 30 rows of apple trees and he’ll be left with 8 trees.
Brain Teaser
Dilshada bought a battery. She read on it ‘Life: .2000 hours. She uses it throughout the day and the night. How many days will the battery run?
Ans. The life of the battery = 2000 hours
She uses it all day and night, i.e. for 24 hours
So, the number of days the battery will run = 2000 ÷ 24 = 83 days

Thus, the battery will run for 83 days.
More with Multiplication and Division
A tank is full of 300 L of water. How much water will be filled in 25 tanks? If 15 buckets can be filled with one tank, how many buckets in all can be filled with the water in 25 tanks?
Ans. Capacity of water in one tank = 300 litres.
In 25 tanks, the amount of water = 300 litres × 25 = 7500 litres.

In the second Case,
The number of buckets that can be filled with 1 tank of water = 15
The number of buckets that can be filled with 25 tanks of water = 25 x 15 = 375.

There are 28 laddoos in 1 kg. How many laddoos will be there in 12 kg? If 16 laddoos can be packed in 1 box, how many boxes are needed to pack all these laddoos?
Ans. Number of laddoos in 1 kg = 28
Then, the number of laddoos in 12 kg = 28 × 12 = 336.
Hence, there will be 336 laddoos in 12 kg.

Number of laddoos that can be packed in one box = 16
So, the number of boxes required to pack 336 laddoos = 336 ÷ 16 = 21.

Hence, 21 boxes are needed to pack all the laddoos.
There are 26 rooms in the school. each room has 4 plants. If each plant needs 2 cups of water, how much water do we need for all the plants?
Number of rooms in the school = 26
Number of plants in each room = 4
So, the total number of plants = 26 × 4 = 104
Number of cups needed for each plant = 2 cups
Then, the total number of cups required for 104 plants = 104 × 2 = 208
Hence, we need 208 cups of water for all the plants.
Page 203 Solutions
Make the Best Story Problem
Each line gives a story. You have to choose the question which makes the best story problem. The first one is already marked.
- A shopkeeper has 50 boxes. There are 48 fruits in one box.
Tick the one question which matches with the given problem.

Explain why (a) and (c) are not good choices.
Option (a) is not a good choice because price is not given in the story
Option (c) is not a good choice because the total number of boxes is given in the story.
- 352 children from a school went on a camping trip. Each tent had a group of 4 children.

Ans.

- A shopkeeper has 204 eggs. He puts them in egg trays. Each tray has 12 eggs.

Ans.

Page 204 Solutions
- The cost of one book is Rs 47. Sweety buys 23 books.

Ans.

Page 205 Solutions
Practice Time
1 Do these divisions. Check your results by multiplication.
a) 438 ÷ 9

Check: Divisor × Quotient + Remainder = Dividend
9 × 48 + 6 = 438
b) 3480 ÷ 12

Check: Divisor × Quotient + Remainder = Dividend
12 × 290 + 0 = 3480
c) 450 ÷ 7

Check: Divisor × Quotient + Remainder = Dividend
7 × 64 + 2 = 450
d) 900 ÷ 10

Check: Divisor × Quotient + Remainder = Dividend
10 × 90 + 0 = 900
e) 678 ÷ 6

Check: Divisor × Quotient + Remainder = Dividend
6 × 113 + 0 = 678
f) 2475 ÷ 11

Check: Divisor × Quotient + Remainder = Dividend
11 × 225 + 0 = 2475
- Solve the given sums and colour the answers in the grid given below. See what you find.
21 × 6 15 × 7 93 × 2 17 × 5
Ans.

10 × 10 26 × 26 77 × 10 50 × 10
Ans.

11 × 11 59 × 7 31 × 19 85 × 30
Ans.

64 × 42 19 × 3
Ans.

248 ÷ 8 3200 ÷ 40 432 ÷ 18
Ans.

729 ÷ 9 825 ÷ 5 221 ÷ 13
Ans.

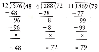
576 ÷ 12 288 ÷ 4 869 ÷ 11
Ans.

847 ÷ 7 981 ÷ 3 475 ÷ 19
Ans.


Page 206 Solutions
Now Let Us Do These!
- Multiply
i) 5986 × 42
ii) 1348 × 42
iii) 9307 × 17
iv) 123 × 123
Ans.

- Complete the pattern:
a) 1 × 9 – 1 = 08
21 × 9 – 1 = 188
321 × 9 – 1 = 2888
4321 × 9 – 1 = 3 _ _ _ _
_ _ _ _ _ × 9 – 1 = 48888
654321 × __ –1 = _ _ _ _ _ _
Ans.

b) 37 × 3 = 111
37 × 6 = 222
37 × 9 = 333
37 × _ = 444
37 × 15 = ____
37 × 21 = ____
Ans.

- Kabir saved Rs.565 a month. How much did he save in 5 years?
Ans. 1 year = 12 months
5 years = 5 × 12 = 60 months.
Money saved in one month = ₹ 565
Money saved in 60 months = ₹ 565 × 60 = ₹ 33900.

- There are 560 children in a school. Rs 20 is spent on each child every day. What is the amount spent on all children in one day?
Ans. Money spent on one child = ₹ 20.
Money spent on 560 children = ₹ 20 × 560 = ₹ 11200.

- Find the product of 888 and the sum of 2676 and 2004.
Ans. The sum of 2676 and 2004 = 2676 + 2004 = ₹ 4680
Product of 888 and 4680 = 888 × 4680 = 4155840.

That’s all about Ways to Multiply and Divide Class 5 JKBOSE Solutions. Hope it helped. Do share your views about this post in the comment section below.
Leave a Reply