JKBOSE Class 8th Mathematics Paper 2015
CLASS-VIII
MATHEMATICS – T2
Time Allowed: 2:30 Hrs. Maximum Marks: 40

JKBOSE Class 8th Mathematics Paper 2015
Section – 1
Q.1. Do as directed: 1 x 6 = 6 marks.
i. Rational numbers are closed under subtraction. (True/False)
ii. The diagonals of a rectangle are of ……….. length. Fill in the blanks.
iii. Cube of any odd number is even. (True/False)
iv. A ……… is a pictorial representation of data using symbols. (Fill in the blanks)
v. When A and B are in direct proportion, complete the table

vi. Multiplicative inverse 5-3 is ……….. (Fill in the blanks)
Section – 2
Very Short Answer Type Questions (02 marks each)
Q.2. Solve: 
Q.3. Multiply (a2 + 2b2) and (5a + 3b)
* Using identity, find (4p – 3q)2.
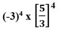
Q.4. Simplify: 
Q.5. Factorise: 49x2 – 36
Q.6. Factorise: z – 7 + 7xy – xyz
Q.7. Factorise the expression and divide (m2 – 14m – 32) ÷ (m + 2)
Q.8. Find the area of trapezium ABCD as shown in figure:

Section – 3
Short Answer Type Questions (03 marks each)
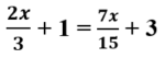
Q.9. Solve the equation and check your result:

* Present ages of Saika and Amir are in the ratio of 4:5. Eight years from now, the ratio of their ages will be 5:6. Find their present ages.
Q.10. Find the value of m so that:

Q.11. A man got a 10% increase in his salary. If his new salary is Rs. 154000, find his original salary.
Q.12. Calculate the amount of Rs. 10000 for 1 year at 8% per annum compounded half yearly.
* Find the selling price (S.P), if a profit of 5% is made on a cycle of Rs. 700 with Rs. 50 as overhead charges.
Q.13. Find the area of the quadrilateral ABCD as shown in the figure:

Section – 4
Long Answer Type Questions (05 marks each)
Q.14. Using the identities, find the following square: (2xy + 5y)2
Or
Show that. (4pq + 3q)2 – (4pq – 3q)2 = 48pq2
Q.15. Dawood is painting the walls and ceiling of a cuboidal hall with length, breadth and height of 15m, 10m and 7m respectively. From each can of paint 100m2 of the area is painted. How many cans of paint will she need to paint the room?
Or
A rectangular paper of width 14 cm is rolled along its width and a cylinder of radius 20 cm is formed. Find the volume of the cylinder. (Take 22/7 for pie)
Leave a Reply