- JKBOSE Class 8th Mathematics Paper 2017 (WZ)
CLASS-VIII
MATHEMATICS – T2
Time Allowed: 2:30 Hrs. Maximum Marks: 40

JKBOSE Class 8th Mathematics Paper 2017 (WZ)
Section – A
Q.1. Fill in the blanks: 1 x 6 = 6 marks.
i. All positive rational numbers are ……… than all the negative rational numbers.
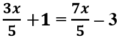
ii. Find x where ![]()
iii. The opposite angles of a parallelogram are not of equal measure. (True/False)
iv. Define the frequency of group data.
v. Find the cube root of 64000……………
Section – B
Very Short Answer Type Questions (02 marks each)
Q.2. Add: 4y (3y2 + 5y – 7) and 2 (y3 – 4y2 + 5).
Q.3. Find the ratio 50 paise to ₹ 5.
Q.4. Find the area of a rhombus whose diagonals are 9 m and 7 m.
Q.5. Construct quadrilateral PQRS where PQ = 4 cm, QR = 6 cm, RS = 3cm. PS = 5.5 cm and PR = 7 cm.
Section – C
Short Answer Type Questions (03 marks each)
Q.6. Simplify: (1.5x – 4y) (1.5x + 4y + 3) – 4.5x + 12y.
Q.7. Using identity (a + b) (a – b) = a2 – b2. Find 9832 – 172
Q.8. Factorise: 4y2 – 12y + 9
Q.9. Factorise: 16x5 -144x3
Section – D
Long Answer Type Questions (05 marks each)
Q.10. Construct the following quadrilateral BN = 5.6 cm, DE = 6.5 cm.
Or
Draw a trapezium BEST in which BE||TS and BE = 11 cm, TS = 5 cm, BT = 6 cm, ES = 6 cm.
Q.11. Find the height of a cylinder whose radius is 7 cm and the total surface area is 968 cm2
Or
A rectangular piece of paper 11 cm × 4 cm is folded without overlapping to make a cylinder of height 4 cm. Find the volume of the cylinder.
Q.12. Find the compound interest on Rs. 12600 for 2 years at 10% per annum compounded annually.
Or
A shopkeeper buys 80 articles for Rs. 2,400 and sells them for a profit of 16%. Find the selling price of one article.
Leave a Reply