JKBOSE Class 8th Mathematics Paper 2020 (SZ)
CLASS-VIII
MATHEMATICS – T2
Time Allowed: 2:30 Hrs. Maximum Marks: 40

JKBOSE Class 8th Mathematics Paper 2020
Section – A
Q.1. Objective Type Questions (Do as directed)
(i) All negative rational numbers are greater than all positive numbers. (True/False)
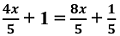
(ii) Find x if ![]()
(iii) Positive square root of a number is denoted by the symbol ……….
(iv) Define pictograph.
(v) The opposite sides of a parallelogram are of equal length. (True/False)
Section – B
Very Short Answer Type Questions (02 marks each)
Q.2. Add l2 + m2, m2 + n2, n2 + l2
Q.3. Convert the ratio 2:3 into a percentage.
Q.4. Find the area of the rhombus whose diagonals are 12 cm and 7.5 cm.
Q.5. Find the value of 2-3
Section – C
Short Answer Type Questions (03 marks each)
Q.6. Simplify: (1.5x – 4y) (1.5x + 4y + 3) – 4.5x + 12y.
Q.7. Using identity (a + b) (a – b) = a2 – b2. Find 9832 – 172
Q.8. Factorise: 16x5 -144x3
Q.9. Divide as directed x(x + 1) (x + 2) (x + 3) ÷ x(x + 1)
Section – D
Long Answer Type Questions (05 marks each)
Q.10. Construct a quadrilateral MORE, MO = 6 cm, OR = 4.5 cm, ∠M = 60◦, ∠O = 105◦ and ∠R = 105◦.
Or
Draw a trapezium BEST in which BE||TS and BE = 11 cm, TS = 5 cm, BT = 6 cm, ES = 6 cm.
Q.11. Find the height of a cylinder whose radius is 7 cm and the total surface area is 968 cm2
Or
Find the height of the cylinder whose volume is 1.54 m3 and the diameter of the base is 140 cm.
Q.12. Calculate the amount and compound interest on ₹ 10800 for 3 years at % per annum compound annually.
Or
A shopkeeper buys 80 articles for Rs. 2,400 and sells them for a profit of 16%. Find the selling price of one article.
Leave a Reply