JKBOSE Class 8th Mathematics Paper 2014 (SZ)
CLASS-VIII
MATHEMATICS – T2
Time Allowed: 2:30 Hrs. Maximum Marks: 40

Section – 1
Q.1. Fill in the blanks (1 × 6 = 6 marks)
i. (a + b)2 = ………….
ii. How many rational numbers are there between 1 and 2?
iii. The opposite angles of a parallelogram are …………
iv. …………gives the number of times that a particular entry occurs.
v. Numbers like 1, 4, 9, 16, 25, …. are known as ……….. numbers.
vi. A …….. graph is used to compare parts of a whole.
Section – 2
Very Short Answer Type Questions (02 marks each)
Q.2. Define:
(i) Algebraic expression.
(ii) Linear equation in one variable.
Q.3. Subtract 2p2q2 – 3pq + 4 from 5 + 7pq – 3p2q2
Q.4. Express in the usual form: 3.52 × 105
Find m so that (-3) m+1 × (-3)5 = (-3)7
Q.5. Factorise z2 – 4z – 12
Q.6. Factorise the expression and divide (y2 + 7y + 10) + (y + 5)
Q.7. Factorise: p2 – 10p + 25
Q.8. Find the perimeter of the given figure.

Section – 3
Short Answer Type Questions (03 marks each)
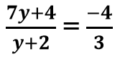
Q.9. Solve: 
Or
Akram is twice as old as Shaziya. Five years ago, his age was three times Shaziya’s age. Find their present age.
Q.10. Find the value: 
Q.11. A man got a 10% increase in salary if his new salary is ₹ 1,54,000. Find his original salary.
Q.12. Find the compound interest on ₹ 8,000 for 2 years at 5% per annum compounded annually.
Find the ratio of the speed of a cycle 15 km per hour to the speed of a scooter 30 km per hour.
A table marked at ₹ 15,000 is available for ₹ 14,400 to find the discount given and the discount percent.
Q.13. Find the area of a rhombus whose diagonals are of lengths 10 cm and 8.2 cm.
Section – 4
Long Answer Type Questions (05 marks each)
Q.14. Simplify: (2.5p + 1.5q)2 – (1.5p – 2.5q)2
Or
Using the identities, find the following square: (0.4p – 0.5q)2
Q.15. Find the side of a cube whose surface area is 600 cm2
Or
A rectangular piece of paper 11 cm × 4 cm is folded without overlapping to make a cylinder of height 4 cm. Find the volume of the cylinder.
Q.16. Construct a quadrilateral JUMP, given JU = 3.5 cm, UM = 4 cm, MP = 5 cm, PJ = 4.5 cm and PU = 6.5 cm.
Or
Construct the quadrilateral ABCD, given that BC = 4.5 cm, AD = 5.5 cm, CD = 5 cm, the diagonal AC = 5.5 cm and diagonal BD = 7 cm.
Leave a Reply