JKBOSE Class 8th Mathematics Paper 2017 (SZ)
CLASS-VIII (Set I)
MATHEMATICS – T2
Time Allowed: 2:30 Hrs. Maximum Marks: 40

JKBOSE Class 8th Mathematics Paper 2017 (Set I)
Section – 1
Q.1. Fill in the blanks: 1 x 6 = 6 marks.
i. Zero has ……… reciprocals.
ii. Sum of exterior angles of a polygon is ……….
iii. Unorganised form of data is called ……….
iv. Square numbers can also have an even number of zeros at the end. (True/False)
v. The symbol
denotes the square root. (True/False)
vi. Solve (a + b) (a – b)
Section – 2
Very Short Answer Type Questions (02 marks each)
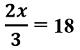
Q.2. Solve the equation:

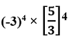
Q.3. Simplify and express the result in power notation with positive exponents.

Q.4. Find the value of m for which 5m ÷ 5-3 = 55.
Q.5. Multiply the binomial: (2x + 5) and (4x – 3)
Q.6. Factorise: 49p2 – 36
Q.7. Convert the ratio into percentage 3:4.
Q.8. Find the area of the rhombus whose diagonals are of length 10 cm and 8.2 cm.
Section – 3
Short Answer Type Questions (03 marks each)
Q.9. Two numbers are in the ratio 5:3. If they differ by 18, what are the numbers?
Q.10. An item marked at ₹ 840 is sold for ₹ 714. What are the discount and discount %?
Q.11. Calculate the amount and compound interest on ₹ 10800 for 3 years at
per annum compound annually.
Q.12. Divide as directed: 5(2x + 1) (3x + 5) ÷ (2x + 1)
Q.13. Find the area of the rhombus whose side s 6 cm and whose altitude is 4 cm.
Section – 4
Long Answer Type Questions (05 marks each)
Q.14. Factorise the expression and divide (y2 + 7y + 10) ÷ (y + 5)
Or
Using (x + a) (x + b) = x2 + (a + b)x + ab, find 103 × 104.
Q.15. Find the height of the cylinder whose volume is 1.54 m3 and the diameter of the base is 140 cm.
Or
A cuboid is of dimensions 60 cm × 54 cm × 30 cm. How many small cubes with a side of 6 cm can be placed in the given cuboid?
Q.16. Construct a quadrilateral MORE, MO = 6 cm, OR = 4.5 cm, ∠M = 60◦, ∠O = 105◦ and ∠R = 105◦.
Or
Construct a quadrilateral ABCD in which AB = 4.5 cm, BC = 5.5 cm, CD = 4 cm, AD = 6 cm and AC = 7 cm.
Leave a Reply